专题推荐

    梅雨季节食用菌生产管理指南

    梅雨季节食用菌生产管理指南

    蘑力绽放 食用菌科技小院点燃产业振兴新引擎

    蘑力绽放 食用菌科技小院点燃产业振兴新...

    持续推动体重管理年行动菌菇变减重神器

    持续推动体重管理年行动菌菇变减重神器

    为培养造就兼具技术深度与产业视野的食用菌行业领军型人才,助力食用菌产业高质量发展,2025年5月8日-10日,由中国乡镇企业协会食用菌产业分会主办、农业农村部管理干部学院承办、中国食用菌商务网协办的“

    为培养造就兼具技术深度与产业视野的食...

    2025年3月29日-31日,由中国乡镇企业协会食用菌产业分会主办、农业农村部管理干部学院承办、中国食用菌商务网协办的第一期乡村菌业专家高级研修班在京举办

    2025年3月29日-31日,由中国乡镇企业协...

    2025年2月17日上午,由中国乡镇企业协会数字经济专业委员会主办、农业农村部管理干部学院承办、国家农业信息化工程技术研究中心协办的“数字乡村建设领军人才高级研修班”在北京农业农村部管理干部学院开班。

    2025年2月17日上午,由中国乡镇企业协会...

    牛肝菌MNP分子标记数据库发布,助力菌株精准鉴定与高效育种

    发布时间:2025-09-30

      来源:中国食用菌商务网

    分享到
    分享到微信朋友圈×
    打开微信,点击底部的“发现”,
    使用“扫一扫”即可将网页分享至朋友圈。
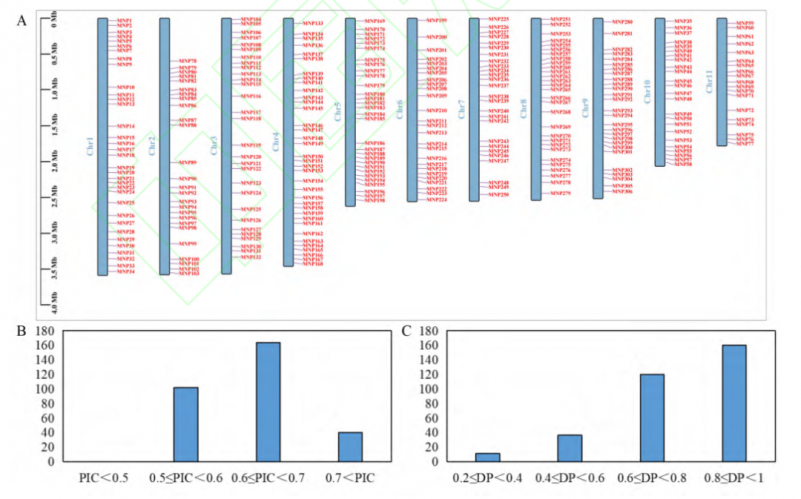
    近日,云南菌视界生物科技有限公司联合中国科学院微生物研究所、俄罗斯科学院西伯利亚分院中央西伯利亚植物园等单位,在国际权威期刊《菌物学报》上发表了题为《基于MNP标记的暗褐脉柄牛肝菌菌株鉴定与群体遗传研究》的研究论文。该研究首次构建了暗褐脉柄牛肝菌(Phlebopus portentosus)的MNP分子标记数据库,实现了菌株水平的精准鉴定与群体遗传结构解析,为我国牛肝菌种质资源保护与分子育种提供了关键技术支撑。
    暗褐脉柄牛肝菌是全球首个实现人工规模化栽培的牛肝菌物种,其产业化进程迅速,已成为食用菌产业的新兴力量。然而,随着栽培规模的扩大,菌株命名混乱、“同物异名”等问题日益突出,严重制约了品种权保护和良种选育进程。
     
    传统鉴定方法如ITS、SSR、RAPD等存在分辨率低、重复性差等局限,难以满足现代种业对精准鉴定的要求。因此,开发高效、稳定、可推广的分子标记技术,成为推动牛肝菌产业高质量发展的关键。
     
    本研究通过对66个不同地理来源的暗褐脉柄牛肝菌菌株进行全基因组重测序,成功构建了包含306个MNP标记位点的分子数据库。每个MNP位点平均包含4.82个SNP,具备高多态性(PIC=0.63)和高区分度(DP=0.76),显著优于传统标记。

    研究结果表明:
     
    MNP标记能清晰地将菌株划分为两个遗传群体,与SNP分析结果高度一致;
    在不同测序数据量(≥4G)和继代培养(0–8代)条件下,MNP标记均保持100%的准确性和稳定性;
    结合机器学习模型,实现了群体划分准确率100%,并筛选出对群体分化具有指示作用的关键功能位点。
    研究首次提出了暗褐脉柄牛肝菌克隆菌株的判定标准:
    ✅ PI_HAT > 0.95
    ✅ 遗传距离 D < 0.01
    ✅ MNP遗传相似度 GS = 100%
    这一标准为菌株身份认定提供了科学依据,有效避免了菌株混淆和侵权问题。
    MNP标记不仅用于菌株鉴定,更在功能基因定位、亲本选配、杂交育种中发挥重要作用。本研究注释发现,40.19%的MNP位点位于功能基因区域,涉及代谢、信号转导、膜运输等关键生物学过程。
     
    云南菌视界正基于该技术,开展牛肝菌基因遗传育种研究,通过整合功能注释与遗传距离分析,实现“功能位点一致+遗传背景互补”的精准亲本配对策略,显著提升育种效率与可预测性。
     
    MNP标记技术的成功应用,标志着牛肝菌菌株鉴定进入“精准时代”。云南菌视界将继续以科技为先导,以种质为基石,为我国食用菌产业的高质量发展注入强劲动能。(来源:菌视界)

    中国食用菌商务网公众号

    更多资讯 ! 欢迎扫描左上方二维码关注中国食用菌商务网微信公众号

    2025年8月干牛肝菌出口情况分析报告

    2025年8月干牛肝菌出口情况分析报告

    2025年8月干牛肝菌出口总量130.73吨,同比去年同期87.63...

    2025-09-29 13:37:37

    喜茶推出“牛肝菌冰淇淋” 火爆出圈

    近日,喜茶与最近热播综艺《一饭封神》中的明星大厨黎子...

    2025-09-22 08:43:08

    突破性研究:暗褐脉柄牛肝菌T2T基因组图谱首次发布,揭秘“黑牛肝菌”人工栽培之谜

    突破性研究:暗褐脉柄牛肝菌T2T基因组图谱首次发布,揭秘“黑牛肝菌”人工栽培之谜

    云南菌视界生物科技有限公司联合中国科学院微生物研究所...

    2025-09-18 14:36:04

    贵州宏臻菌业黑牛肝菌二期建设项目部分厂房正式投产

    贵州宏臻菌业黑牛肝菌二期建设项目部分厂房正式投产

    8月6日,贵州宏臻菌业投资发展有限公司黑牛肝菌二期建设...

    2025-08-12 09:23:00

    2025年6月干牛肝菌出口情况分析报告

    2025年6月干牛肝菌出口情况分析报告

    2025年6月干牛肝菌出口总量51.87吨,同比去年同期47.01吨...

    2025-07-24 10:04:19

    宏臻牛肝菌(武汉)工厂项目开建

    宏臻牛肝菌(武汉)工厂项目开建

    6月30日,宏臻牛肝菌(武汉)工厂在湖北武汉经开区现代种...

    2025-07-03 09:24:05

    2025年4月干牛肝菌出口情况分析报告

    2025年4月干牛肝菌出口情况分析报告

    2025年4月干牛肝菌出口总量95.04吨,同比去年同期80.67吨...

    2025-06-24 13:34:42

    贵州贞丰县黑牛肝菌二期项目预计年底建成投产

    贵州贞丰县黑牛肝菌二期项目预计年底建成投产

    贵州宏臻菌业投资发展有限公司是一家工厂化生产黑牛肝菌...

    2025-06-17 10:25:39

    中华腐生牛肝菌人工栽培技术成功转化

    中华腐生牛肝菌人工栽培技术成功转化

    近日,西双版纳现代农业发展集团有限公司与云南省热带作...

    2025-05-28 10:37:18

    黑牛肝菌(二期)项目建设加速!年底再建成一个年产能3500吨工厂

    黑牛肝菌(二期)项目建设加速!年底再建成一个年产能3500吨工厂

    连日来,贵州贞丰县黑牛肝菌(二期)项目建设紧张有序推...

    2025-04-14 09:16:50

    通江银耳(食用菌)产业发展中心累计培育出20余个新菌株

    通江银耳(食用菌)产业发展中心累计培育出20余个新菌株

    近日,四川省巴中市通江银耳(食用菌)产业发展中心科研...

    2025-05-27 09:12:48

    浙江庆元县成功驯化两个香菇新菌株

    浙江庆元县成功驯化两个香菇新菌株

    近日,浙江庆元县成功驯化两个香菇新菌株,菌株编码为43...

    2025-05-15 09:30:44

    贵州黔东南州本地香菇菌株驯化栽培,初见成效

    贵州黔东南州本地香菇菌株驯化栽培,初见成效

    为有效开发利用贵州黔东南州野生食用菌资源,驯化培育高...

    2025-04-02 08:47:53

    香菇新菌株“庆科2号”选育成功,优势明显

    香菇新菌株“庆科2号”选育成功,优势明显

    近日,浙江庆元县食用菌产业中心研究团队选育的香菇新菌...

    2025-02-21 11:45:54

    “金耳菌菌株鉴别标记”有新成果

    “金耳菌菌株鉴别标记”有新成果

    近日,云南菌视界生物科技有限公司在《菌物学报》首发论...

    2025-01-24 09:45:17

    有机黑木耳菌株太空归来,有望“回乡”助农

    有机黑木耳菌株太空归来,有望“回乡”助农

    12月18日,在北京航空航天大学“月宫一号”实验室,历经...

    2024-12-23 14:01:02

    福建省农业微生物种质资源库保藏食药用菌菌株4800多个

    福建农林大学建有福建省农业微生物种质资源库,保藏食药...

    2024-12-12 10:33:12

    增产10%以上!遨游太空的银耳新菌株开“花”了

    增产10%以上!遨游太空的银耳新菌株开“花”了

    经过悉心培育,曾经历“太空游”的银耳新菌株“HT108”在...

    2024-11-30 08:44:47

    云南维西:人才赋能“小菌株”登上“大舞台”

    云南维西:人才赋能“小菌株”登上“大舞台”

    云南迪庆藏族自治州维西傈僳族自治县依托立体气候优势和...

    2024-06-12 11:59:55

    2个皱木耳新菌株,通过田间技术鉴定

    2个皱木耳新菌株,通过田间技术鉴定

    近日,四川省非主要农作物品种认定委员会办公室组织有关...

    2024-06-11 08:57:41

    农业农村部推进国家育种联合攻关,为食用菌行业释放重要信号!

    农业农村部推进国家育种联合攻关,为食用菌行业释放重要信号!

    近日,农业农村部种业管理司召开国家育种联合攻关工作推...

    2025-08-20 13:38:18

    山东滨州市食用菌育种与高值化利用重点实验室揭牌

    山东滨州市食用菌育种与高值化利用重点实验室揭牌

    近日,山东滨州市食用菌育种与高值化利用重点实验室建设...

    2025-07-29 10:00:30

    河南世纪香构建育种体系,破译菌菇增值密码

    河南世纪香构建育种体系,破译菌菇增值密码

    位于河南许昌市建安区的河南世纪香食用菌开发有限公司,...

    2025-07-11 11:50:19

    云南楚雄州南繁现代育种与食用菌种质创制保育平台(基因优植实验室)发布公告

    云南楚雄州南繁现代育种与食用菌种质创制保育平台(基因优植实验室)发布公告

    近日,从中国政府采购网获悉,云南楚雄州南繁现代育种与...

    2025-06-30 11:42:30

    “珍稀菌育种及栽培技术创新高级研修班”7月开班!

    “珍稀菌育种及栽培技术创新高级研修班”7月开班!

    近年来,我国食用菌生产规模不断扩大,部分传统食用菌品...

    2025-05-24 08:52:14

    寿仙谷“食药用菌精准育种技术专利导航”获批省级立项

    寿仙谷“食药用菌精准育种技术专利导航”获批省级立项

    近日,在2025年浙江金华市知识产权宣传周启动仪式暨“4.2...

    2025-04-27 09:45:06

    贵州道真县大磏镇文家坝村金耳育种基地开工建设

    贵州道真县大磏镇文家坝村金耳育种基地开工建设

    近日,贵州道真自治县大磏镇文家坝村贵州盛伟阳生态农业...

    2025-04-18 09:03:29

    食用菌育种怎么做?市场需求是“指挥棒”

    食用菌育种怎么做?市场需求是“指挥棒”

    河南省食用菌产业技术体系首席专家、河南省农科院食用菌...

    2025-03-26 09:22:54

    菌棒成品率将从75%跃升至99%!宁夏固原实现食用菌自主育种

    菌棒成品率将从75%跃升至99%!宁夏固原实现食用菌自主育种

    近日,在位于宁夏固原市原州区的闽宁食用菌产业科技试验...

    2025-03-18 09:43:37

    银耳上太空后营养成分暴涨!食用菌航天育种新品种通过鉴定

    近日,银耳新品种“HT108”在古田县顺利通过由福建省非主...

    2025-03-17 09:36:00

    *版权所有

    ① 本网所有自采资讯信息(含图片)独家授权中国食用菌商务网发布,未经允许不得转载或镜像;经授权转载应在授权范围内使用,并注明来源,例:"中国食用菌商务网"。

    ②本网部分内容转载自其他媒体,并注明转载出处,转载的目的在于传递更多信息,并不代表本网赞同其观点和对其真实性负责。

    ③如因作品内容、版权和其他问题需要同本网联系的,请在30日内进行。